AI知识内积点积逐元素乘法矩阵乘法等概念介绍
目录

【AI知识】内积、点积、逐元素乘法、矩阵乘法等概念介绍
内积、点积、逐元素乘法、矩阵乘法等等概念傻傻弄不清?T T 记录一下:
1.内积:
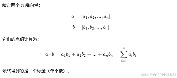
内积(Inner Product),也称为点积(Dot Product)或数量积,是指两个向量之间的运算,计算规则是: 两个向量的对应元素相乘后求和,结果是一个标量(一个数值) ,它要求两个向量的长度必须相同,可以用来计算相似度(如余弦相似度)、注意力机制等。

如果再详细一点介绍:
1)内积的数学意义:

2)内积的几何意义:

cosθ 表示向量方向的相似程度,如果 cosθ 接近 1,说明两个向量方向相近(相似);如果接近 0,说明它们几乎无关。
2.逐元素乘法
逐元素乘法(Element-wise Multiplication),也称为哈达玛积(Hadamard Product),是指两个相同维度的矩阵或向量中每个对应位置的元素相乘。结果是一个与输入矩阵或向量维度相同的新矩阵或向量。

3.矩阵乘法
矩阵乘法(Matrix Multiplication)是指两个矩阵之间的运算,结果是一个新矩阵,计算规则是: 矩阵 𝐴的行向量与矩阵 𝐵 的列向量进行点积,得到新矩阵 ,要求左侧矩阵的列数必须等于右侧矩阵的行数。应用如深度学习的全连接层(Linear Layer),自注意力机制中的Q*K^T 计算等。

