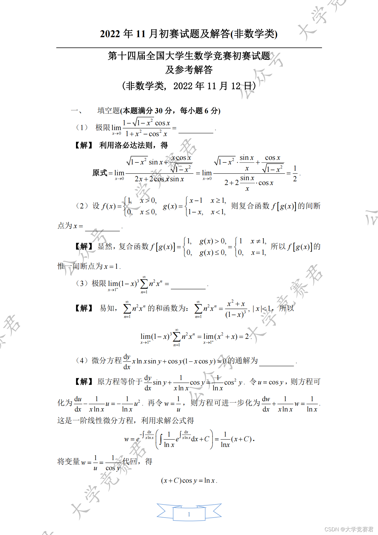
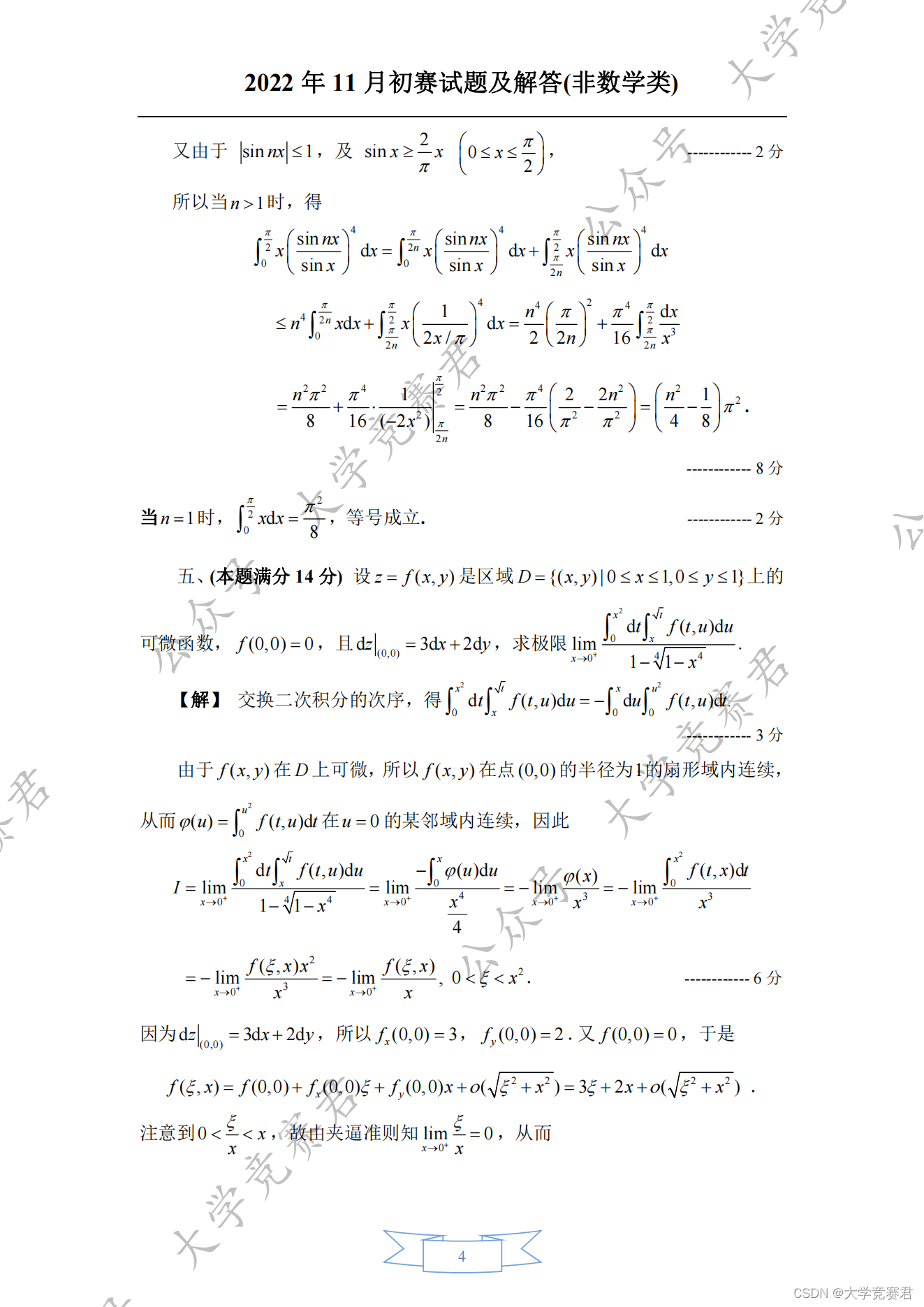
目录

2022年第十四届全国大学生数学竞赛

目录

/weixin_miniapp.png

2022年第十四届全国大学生数学竞赛

11.12非延迟地区开赛啦,小编为大家整理了2022年第十四届全国大学生数学竞赛真题加标答

希望帮到大

https://i-blog.csdnimg.cn/blog_migrate/0c81976a5e10b1268141c097695f3dba.jpeg

https://i-blog.csdnimg.cn/blog_migrate/a8c6d506b25bdd1cf8da95c73262f28e.png 家   大学竞赛君自做答案90+,延迟地区的小伙伴也可以辅导

https://i-blog.csdnimg.cn/blog_migrate/dafa974b61671a1b1379899b650f668a.png

https://i-blog.csdnimg.cn/blog_migrate/bb65fbe3945d76262b534b531dc66252.png

https://i-blog.csdnimg.cn/blog_migrate/843a9569d1ae4911d47fe029229dbc9e.png

https://i-blog.csdnimg.cn/blog_migrate/f15c75faf2c0e03d86f2d46da26cfff6.png

/weixin_miniapp.png