DTLZ测试函数系列
目录

DTLZ测试函数系列
DTLZ测试函数系列
目录
介绍DTLZ测试函数系列(DTLZ1-DTLZ9)
DTLZ1
DTLZ1是一个具有线性Pareto最优面的较简单的M个目标的测试问题,其描述如式子(11.25)所示。

DTLZ2
DTLZ2其描述如式子(11.27)所示。

DTLZ3
为了测试一个MOEA收敛到全局Pareto最优的能力,在DTLZ2中采用DTLZ1中的所建设的函数g(Xm),从而得到DTLZ3的测试问题,如式(11.30)所示。

DTLZ4
为了测试一个MOEA保持解的良好的分布度你的能力,修改DTLZ2,采用不同的决策变量到目标函数的映射方式,得到DTLZ3的测试问题,如式(11.31)所示。


DTLZ5
DTLZ5与DTLZ2的表达式再形式上相似,只是用于关于X的函数θ取代原目标函数中的x的取值,其描述如式(11.32)所示。

DTLZ6
对DTLZ5的函数g加以修改,使问题变得更复杂而得到DTLZ6的测试问题。函数g为

DTLZ7
DTLZ7是一个具有一组不连续Pareto最优面的测试问题,其描述如式(11.34)所示.

DTLZ8
DTLZ8的描述如式(11.35)所示.

DTLZ9
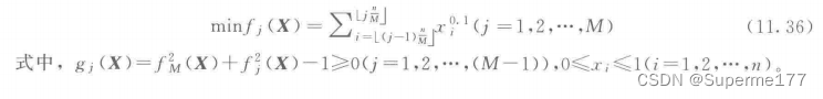
DTLZ9的描述如式(11.36)所示.

参考书籍,郑金华,邹娟著. 多目标进化优化. 北京:科学出版社, 2017.05.
